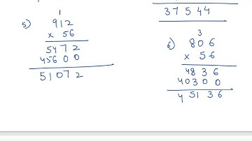
PSEB 5th maths exercise 2.4/ questions 2 fully solved / chapter Fundamental operations on numbers

Tonton & Download Video Musik Gratis

⬇ DOWNLOAD NOW
Kalau muncul iklan pop-up, tutup lalu klik tombol kembali

Download lagu PSEB 5th maths exercise 2.4/ questions 2 fully solved / chapter Fundamental operations on numbers secara gratis hanya untuk keperluan promosi. Dukung artis favorit kamu dengan membeli musik original di iTunes atau platform resmi lainnya.