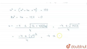
Find two consecutive odd natural numbers, sum of whose square is 130 CBSE 2013

Tonton & Download Video Musik Gratis

⬇ DOWNLOAD NOW
Kalau muncul iklan pop-up, tutup lalu klik tombol kembali

Download lagu Find two consecutive odd natural numbers, sum of whose square is 130 CBSE 2013 secara gratis hanya untuk keperluan promosi. Dukung artis favorit kamu dengan membeli musik original di iTunes atau platform resmi lainnya.