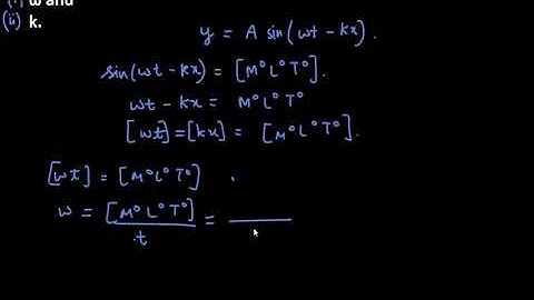
(a) the displacement of a particle is given by s - a sin (omega t = kx), where t is in second an...

Tonton & Download Video Musik Gratis

⬇ DOWNLOAD NOW
Kalau muncul iklan pop-up, tutup lalu klik tombol kembali

Download lagu (a) the displacement of a particle is given by s - a sin (omega t = kx), where t is in second an... secara gratis hanya untuk keperluan promosi. Dukung artis favorit kamu dengan membeli musik original di iTunes atau platform resmi lainnya.