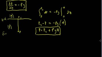
Introductory Fluid Mechanics L5 p1 Liquid Hydrostatics Applied to Manometry Lecture

Tonton & Download Video Musik Gratis

⬇ DOWNLOAD NOW
Kalau muncul iklan pop-up, tutup lalu klik tombol kembali

Download lagu Introductory Fluid Mechanics L5 p1 Liquid Hydrostatics Applied to Manometry Lecture secara gratis hanya untuk keperluan promosi. Dukung artis favorit kamu dengan membeli musik original di iTunes atau platform resmi lainnya.