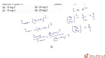
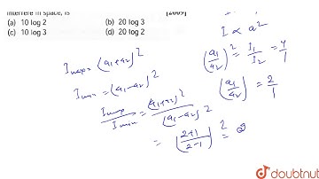
The ratio of intensities between two coherent sound sources is 4: 1 The difference of loudness in...

Tonton & Download Video Musik Gratis

⬇ DOWNLOAD NOW
Kalau muncul iklan pop-up, tutup lalu klik tombol kembali

Download lagu The ratio of intensities between two coherent sound sources is 4: 1 The difference of loudness in... secara gratis hanya untuk keperluan promosi. Dukung artis favorit kamu dengan membeli musik original di iTunes atau platform resmi lainnya.