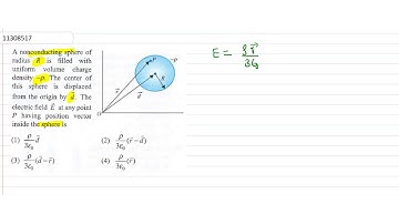
A nonconducting sphere of radius R is filled with uniform volume charge density `-rho`.

Tonton & Download Video Musik Gratis

⬇ DOWNLOAD NOW
Kalau muncul iklan pop-up, tutup lalu klik tombol kembali

Download lagu A nonconducting sphere of radius R is filled with uniform volume charge density `-rho`. secara gratis hanya untuk keperluan promosi. Dukung artis favorit kamu dengan membeli musik original di iTunes atau platform resmi lainnya.