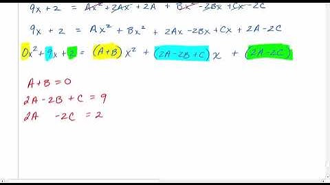
6.3 HW#4 : Partial Fraction Decomposition: CASE 3 - quadratic

Tonton & Download Video Musik Gratis

⬇ DOWNLOAD NOW
Kalau muncul iklan pop-up, tutup lalu klik tombol kembali

Download lagu 6.3 HW#4 : Partial Fraction Decomposition: CASE 3 - quadratic secara gratis hanya untuk keperluan promosi. Dukung artis favorit kamu dengan membeli musik original di iTunes atau platform resmi lainnya.