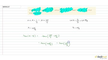
If `sin A = 1/2, cos B = sqrt(3)/2` , where `pi/2 lt A lt pi and 0 lt B lt pi/2`, find that : `

Tonton & Download Video Musik Gratis

⬇ DOWNLOAD NOW
Kalau muncul iklan pop-up, tutup lalu klik tombol kembali

Download lagu If `sin A = 1/2, cos B = sqrt(3)/2` , where `pi/2 lt A lt pi and 0 lt B lt pi/2`, find that : ` secara gratis hanya untuk keperluan promosi. Dukung artis favorit kamu dengan membeli musik original di iTunes atau platform resmi lainnya.