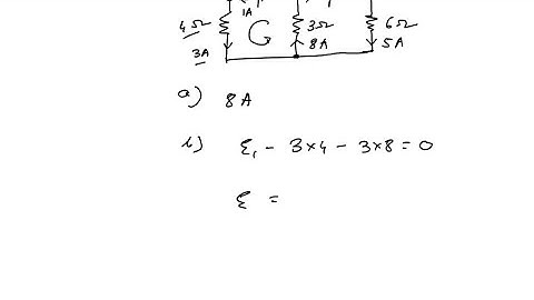
In the circuit shown in Fig. E26.27, find (a) the current in the 3.00-Ωresistor; (b)…

Tonton & Download Video Musik Gratis

⬇ DOWNLOAD NOW
Kalau muncul iklan pop-up, tutup lalu klik tombol kembali

Download lagu In the circuit shown in Fig. E26.27, find (a) the current in the 3.00-Ωresistor; (b)… secara gratis hanya untuk keperluan promosi. Dukung artis favorit kamu dengan membeli musik original di iTunes atau platform resmi lainnya.