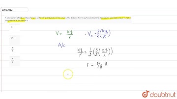
A solid sphere of radius R has charge q uniformly distributed over its volume. The distance from...

Tonton & Download Video Musik Gratis

⬇ DOWNLOAD NOW
Kalau muncul iklan pop-up, tutup lalu klik tombol kembali

Download lagu A solid sphere of radius R has charge q uniformly distributed over its volume. The distance from... secara gratis hanya untuk keperluan promosi. Dukung artis favorit kamu dengan membeli musik original di iTunes atau platform resmi lainnya.