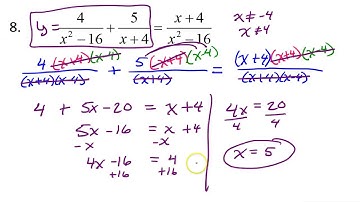
Day 8 HW #1 to #4 Solving Rational Equations Using the Graphing Calculator

Tonton & Download Video Musik Gratis

⬇ DOWNLOAD NOW
Kalau muncul iklan pop-up, tutup lalu klik tombol kembali

Download lagu Day 8 HW #1 to #4 Solving Rational Equations Using the Graphing Calculator secara gratis hanya untuk keperluan promosi. Dukung artis favorit kamu dengan membeli musik original di iTunes atau platform resmi lainnya.