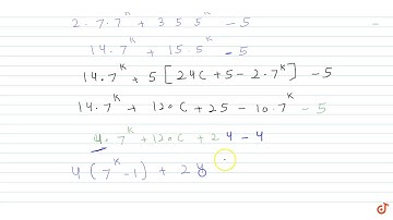
Proof by mathematical induction that 2x7^n+3x5^n-5 is divisible by 24

Tonton & Download Video Musik Gratis

⬇ DOWNLOAD NOW
Kalau muncul iklan pop-up, tutup lalu klik tombol kembali

Download lagu Proof by mathematical induction that 2x7^n+3x5^n-5 is divisible by 24 secara gratis hanya untuk keperluan promosi. Dukung artis favorit kamu dengan membeli musik original di iTunes atau platform resmi lainnya.