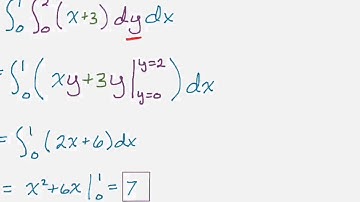
21. DOUBLE INTEGRALS OVER RECTANGULAR REGIONS

Tonton & Download Video Musik Gratis

⬇ DOWNLOAD NOW
Kalau muncul iklan pop-up, tutup lalu klik tombol kembali

Download lagu 21. DOUBLE INTEGRALS OVER RECTANGULAR REGIONS secara gratis hanya untuk keperluan promosi. Dukung artis favorit kamu dengan membeli musik original di iTunes atau platform resmi lainnya.