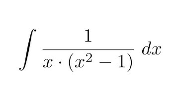
Integral of 1/(1-x^2)- How to integrate? Integral by partial fraction decomposition Indefinite

Tonton & Download Video Musik Gratis

⬇ DOWNLOAD NOW
Kalau muncul iklan pop-up, tutup lalu klik tombol kembali

Download lagu Integral of 1/(1-x^2)- How to integrate? Integral by partial fraction decomposition Indefinite secara gratis hanya untuk keperluan promosi. Dukung artis favorit kamu dengan membeli musik original di iTunes atau platform resmi lainnya.