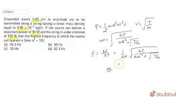
A string of length 10.0 m and mass 1.25kg stretched with a tension of 50N. If a

Tonton & Download Video Musik Gratis

⬇ DOWNLOAD NOW
Kalau muncul iklan pop-up, tutup lalu klik tombol kembali

Download lagu A string of length 10.0 m and mass 1.25kg stretched with a tension of 50N. If a secara gratis hanya untuk keperluan promosi. Dukung artis favorit kamu dengan membeli musik original di iTunes atau platform resmi lainnya.