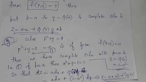
Solution of Non Linear PDE of form f(p, q) = 0 || Partial Differential equation || msmaths

Tonton & Download Video Musik Gratis

⬇ DOWNLOAD NOW
Kalau muncul iklan pop-up, tutup lalu klik tombol kembali

Download lagu Solution of Non Linear PDE of form f(p, q) = 0 || Partial Differential equation || msmaths secara gratis hanya untuk keperluan promosi. Dukung artis favorit kamu dengan membeli musik original di iTunes atau platform resmi lainnya.