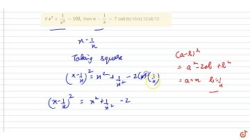
If x^2 + 1/x^2 = 102 , then find the value of x- 1/x | Polynomial class 9 | Algebraic Expression

Tonton & Download Video Musik Gratis

⬇ DOWNLOAD NOW
Kalau muncul iklan pop-up, tutup lalu klik tombol kembali

Download lagu If x^2 + 1/x^2 = 102 , then find the value of x- 1/x | Polynomial class 9 | Algebraic Expression secara gratis hanya untuk keperluan promosi. Dukung artis favorit kamu dengan membeli musik original di iTunes atau platform resmi lainnya.