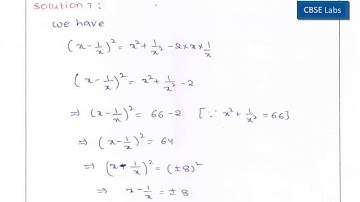
RD Sharma Class 9 Chapter 4 Algebraic Identities Ex 4.1 Q7 to Q10 From Latest Edition Book 2022

Tonton & Download Video Musik Gratis

⬇ DOWNLOAD NOW
Kalau muncul iklan pop-up, tutup lalu klik tombol kembali

Download lagu RD Sharma Class 9 Chapter 4 Algebraic Identities Ex 4.1 Q7 to Q10 From Latest Edition Book 2022 secara gratis hanya untuk keperluan promosi. Dukung artis favorit kamu dengan membeli musik original di iTunes atau platform resmi lainnya.