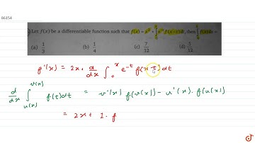
Let f:RtoR be a differentiable function such that f(x)=x^(2)+int_(0)^(x)e^(-t)f(x-t)dt. f(x) inc...

Tonton & Download Video Musik Gratis

⬇ DOWNLOAD NOW
Kalau muncul iklan pop-up, tutup lalu klik tombol kembali

Download lagu Let f:RtoR be a differentiable function such that f(x)=x^(2)+int_(0)^(x)e^(-t)f(x-t)dt. f(x) inc... secara gratis hanya untuk keperluan promosi. Dukung artis favorit kamu dengan membeli musik original di iTunes atau platform resmi lainnya.