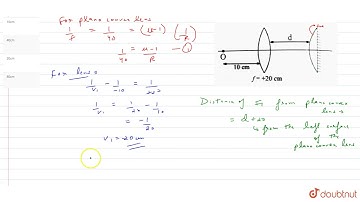
A convex lens of focal length 1.5m is placed in a system of coordinate axis such that its optica...

Tonton & Download Video Musik Gratis

⬇ DOWNLOAD NOW
Kalau muncul iklan pop-up, tutup lalu klik tombol kembali

Download lagu A convex lens of focal length 1.5m is placed in a system of coordinate axis such that its optica... secara gratis hanya untuk keperluan promosi. Dukung artis favorit kamu dengan membeli musik original di iTunes atau platform resmi lainnya.