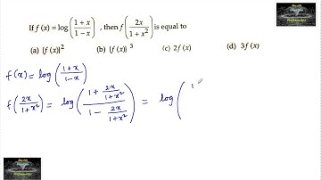
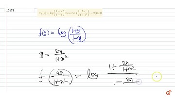
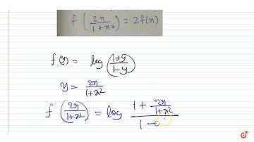
f : R – {±1} tends to R, f(x) = log | 1+x / 1–x | then show that f(2x/1+x²) = 2 f(x) @EAG

Tonton & Download Video Musik Gratis

⬇ DOWNLOAD NOW
Kalau muncul iklan pop-up, tutup lalu klik tombol kembali

Download lagu f : R – {±1} tends to R, f(x) = log | 1+x / 1–x | then show that f(2x/1+x²) = 2 f(x) @EAG secara gratis hanya untuk keperluan promosi. Dukung artis favorit kamu dengan membeli musik original di iTunes atau platform resmi lainnya.