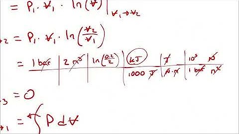
A gas within a Piston Cylinder assembly undergoes a Thermodynamic cycle consisting on three process…

Tonton & Download Video Musik Gratis

⬇ DOWNLOAD NOW
Kalau muncul iklan pop-up, tutup lalu klik tombol kembali

Download lagu A gas within a Piston Cylinder assembly undergoes a Thermodynamic cycle consisting on three process… secara gratis hanya untuk keperluan promosi. Dukung artis favorit kamu dengan membeli musik original di iTunes atau platform resmi lainnya.