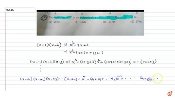
The coefficient of \( x^{n-2} \) in the polynomial \( (x-1)(x-2) \) \( (x-3) \ldots .(x-n) \), i....

Tonton & Download Video Musik Gratis

⬇ DOWNLOAD NOW
Kalau muncul iklan pop-up, tutup lalu klik tombol kembali

Download lagu The coefficient of \( x^{n-2} \) in the polynomial \( (x-1)(x-2) \) \( (x-3) \ldots .(x-n) \), i.... secara gratis hanya untuk keperluan promosi. Dukung artis favorit kamu dengan membeli musik original di iTunes atau platform resmi lainnya.