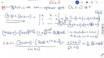
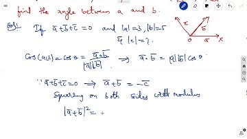
5.Product of Vectors Ex:5a SEC-III [8.problem] Intermediate Maths 1A

Tonton & Download Video Musik Gratis

⬇ DOWNLOAD NOW
Kalau muncul iklan pop-up, tutup lalu klik tombol kembali

Download lagu 5.Product of Vectors Ex:5a SEC-III [8.problem] Intermediate Maths 1A secara gratis hanya untuk keperluan promosi. Dukung artis favorit kamu dengan membeli musik original di iTunes atau platform resmi lainnya.