Tonton & Download Video Musik Gratis
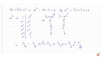
Download lagu Find the coefficient of `x^5` in the product `(1+2x)^6(1-x)^7` using binomial theorem.... secara gratis hanya untuk keperluan promosi. Dukung artis favorit kamu dengan membeli musik original di iTunes atau platform resmi lainnya.