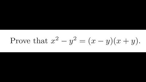
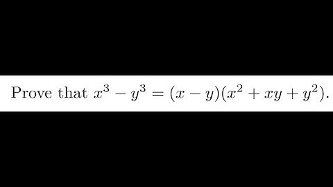
Prove that x^3 + y^3 = (x + y)(x^2 — x.y + y^2) | Calculus by Michael sipvak #calculus

Tonton & Download Video Musik Gratis

⬇ DOWNLOAD NOW
Kalau muncul iklan pop-up, tutup lalu klik tombol kembali

Download lagu Prove that x^3 + y^3 = (x + y)(x^2 — x.y + y^2) | Calculus by Michael sipvak #calculus secara gratis hanya untuk keperluan promosi. Dukung artis favorit kamu dengan membeli musik original di iTunes atau platform resmi lainnya.