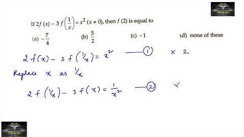
A polynomial function `f(x)` satisfies `f(x)f(1/x)-2f(x) +2f(1/x);x != 0 and f(2)= 18`, then `...

Tonton & Download Video Musik Gratis

⬇ DOWNLOAD NOW
Kalau muncul iklan pop-up, tutup lalu klik tombol kembali

Download lagu A polynomial function `f(x)` satisfies `f(x)f(1/x)-2f(x) +2f(1/x);x != 0 and f(2)= 18`, then `... secara gratis hanya untuk keperluan promosi. Dukung artis favorit kamu dengan membeli musik original di iTunes atau platform resmi lainnya.