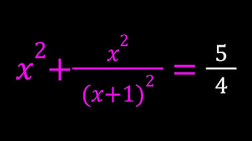
Learn Rational Root Theorem - Math Olympiad Algebra - ISI, CMI Entrance [Re-upload with audio]

Tonton & Download Video Musik Gratis

⬇ DOWNLOAD NOW
Kalau muncul iklan pop-up, tutup lalu klik tombol kembali

Download lagu Learn Rational Root Theorem - Math Olympiad Algebra - ISI, CMI Entrance [Re-upload with audio] secara gratis hanya untuk keperluan promosi. Dukung artis favorit kamu dengan membeli musik original di iTunes atau platform resmi lainnya.