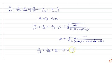
abc = 8, a, b, c is positive real numbers, prove that (a-2)/(a+1) + (b-2)/(b+1) + (c-2)/(c+1) ≤ 0

Tonton & Download Video Musik Gratis

⬇ DOWNLOAD NOW
Kalau muncul iklan pop-up, tutup lalu klik tombol kembali

Download lagu abc = 8, a, b, c is positive real numbers, prove that (a-2)/(a+1) + (b-2)/(b+1) + (c-2)/(c+1) ≤ 0 secara gratis hanya untuk keperluan promosi. Dukung artis favorit kamu dengan membeli musik original di iTunes atau platform resmi lainnya.