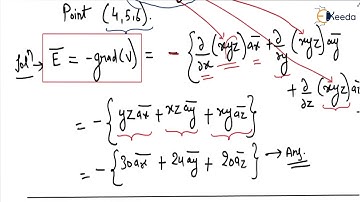
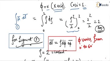
Solving Numerical 2: Surface Integration | Electromagnetics | GATE IE Electricity & Magnetism

Tonton & Download Video Musik Gratis

⬇ DOWNLOAD NOW
Kalau muncul iklan pop-up, tutup lalu klik tombol kembali

Download lagu Solving Numerical 2: Surface Integration | Electromagnetics | GATE IE Electricity & Magnetism secara gratis hanya untuk keperluan promosi. Dukung artis favorit kamu dengan membeli musik original di iTunes atau platform resmi lainnya.