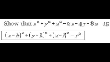
Show that the equation represents a sphere, and find its center - Problem 12.1.20 Cengage Calculus

Tonton & Download Video Musik Gratis

⬇ DOWNLOAD NOW
Kalau muncul iklan pop-up, tutup lalu klik tombol kembali

Download lagu Show that the equation represents a sphere, and find its center - Problem 12.1.20 Cengage Calculus secara gratis hanya untuk keperluan promosi. Dukung artis favorit kamu dengan membeli musik original di iTunes atau platform resmi lainnya.