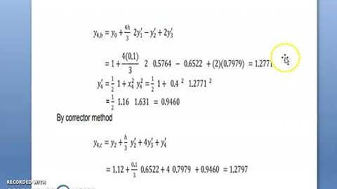
Milne's predictor-corrector method: How to solve ODEs numerically given the initial conditions.

Tonton & Download Video Musik Gratis

⬇ DOWNLOAD NOW
Kalau muncul iklan pop-up, tutup lalu klik tombol kembali

Download lagu Milne's predictor-corrector method: How to solve ODEs numerically given the initial conditions. secara gratis hanya untuk keperluan promosi. Dukung artis favorit kamu dengan membeli musik original di iTunes atau platform resmi lainnya.