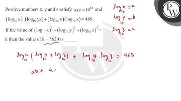
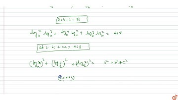
Positive numbers `x , y\ and\ z` satisfy `x y z\ =\ 10^(81)` and `(log_(10)x)*(log_(10)y z)

Tonton & Download Video Musik Gratis

⬇ DOWNLOAD NOW
Kalau muncul iklan pop-up, tutup lalu klik tombol kembali

Download lagu Positive numbers `x , y\ and\ z` satisfy `x y z\ =\ 10^(81)` and `(log_(10)x)*(log_(10)y z) secara gratis hanya untuk keperluan promosi. Dukung artis favorit kamu dengan membeli musik original di iTunes atau platform resmi lainnya.