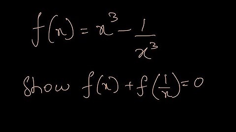
If `f(x)=x^3-1/(x^3)` show that `f(x) +f(1/x)=0`

Tonton & Download Video Musik Gratis

⬇ DOWNLOAD NOW
Kalau muncul iklan pop-up, tutup lalu klik tombol kembali

Download lagu If `f(x)=x^3-1/(x^3)` show that `f(x) +f(1/x)=0` secara gratis hanya untuk keperluan promosi. Dukung artis favorit kamu dengan membeli musik original di iTunes atau platform resmi lainnya.