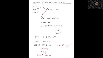
Overview of Second Order ODEs with Constant Coefficients (Differential Equations)

Tonton & Download Video Musik Gratis

⬇ DOWNLOAD NOW
Kalau muncul iklan pop-up, tutup lalu klik tombol kembali

Download lagu Overview of Second Order ODEs with Constant Coefficients (Differential Equations) secara gratis hanya untuk keperluan promosi. Dukung artis favorit kamu dengan membeli musik original di iTunes atau platform resmi lainnya.