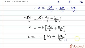
Figure shows three concentric conducting spherical shells with inner and outer shells earthed an...

Tonton & Download Video Musik Gratis

⬇ DOWNLOAD NOW
Kalau muncul iklan pop-up, tutup lalu klik tombol kembali

Download lagu Figure shows three concentric conducting spherical shells with inner and outer shells earthed an... secara gratis hanya untuk keperluan promosi. Dukung artis favorit kamu dengan membeli musik original di iTunes atau platform resmi lainnya.