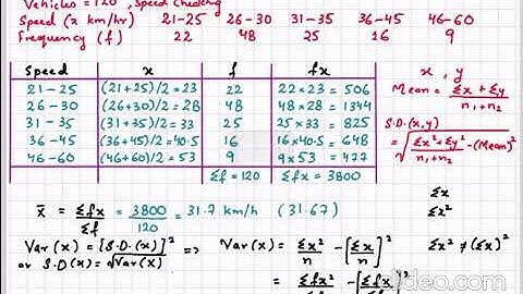
A Level Math 9709 - S1 Representation of Data - Lecture 4 by Sir Ahsan Abdullah Patel - Mean

Tonton & Download Video Musik Gratis

⬇ DOWNLOAD NOW
Kalau muncul iklan pop-up, tutup lalu klik tombol kembali

Download lagu A Level Math 9709 - S1 Representation of Data - Lecture 4 by Sir Ahsan Abdullah Patel - Mean secara gratis hanya untuk keperluan promosi. Dukung artis favorit kamu dengan membeli musik original di iTunes atau platform resmi lainnya.