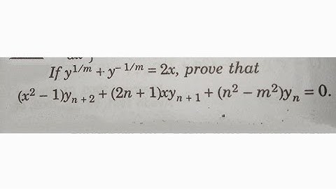
If y^1/m +y^-1/m = 2x, prove that (x²-1)yn+2+ (2n+1)xyn+1+(n²-m²)yn= 0 | Leibnitz Theorem

Tonton & Download Video Musik Gratis

⬇ DOWNLOAD NOW
Kalau muncul iklan pop-up, tutup lalu klik tombol kembali

Download lagu If y^1/m +y^-1/m = 2x, prove that (x²-1)yn+2+ (2n+1)xyn+1+(n²-m²)yn= 0 | Leibnitz Theorem secara gratis hanya untuk keperluan promosi. Dukung artis favorit kamu dengan membeli musik original di iTunes atau platform resmi lainnya.