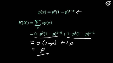
BERNOULLI DISTRIBUTION - HOW TO CALCULATE THE EXPECTED VALUE, VARIANCE AND STANDARD DEVIATION

Tonton & Download Video Musik Gratis

⬇ DOWNLOAD NOW
Kalau muncul iklan pop-up, tutup lalu klik tombol kembali

Download lagu BERNOULLI DISTRIBUTION - HOW TO CALCULATE THE EXPECTED VALUE, VARIANCE AND STANDARD DEVIATION secara gratis hanya untuk keperluan promosi. Dukung artis favorit kamu dengan membeli musik original di iTunes atau platform resmi lainnya.