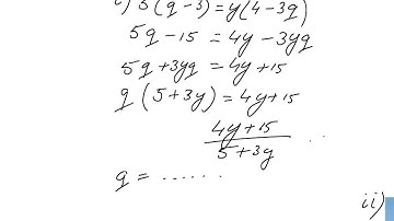
Algebra changing the subject iGCSE Specimen 2020 Paper 2 question of the day

Tonton & Download Video Musik Gratis

⬇ DOWNLOAD NOW
Kalau muncul iklan pop-up, tutup lalu klik tombol kembali

Download lagu Algebra changing the subject iGCSE Specimen 2020 Paper 2 question of the day secara gratis hanya untuk keperluan promosi. Dukung artis favorit kamu dengan membeli musik original di iTunes atau platform resmi lainnya.