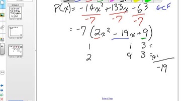
Solving Quadratic Functions by Factoring (Grade 11 mixed Lesson 3.4 4 2 13)

Tonton & Download Video Musik Gratis

⬇ DOWNLOAD NOW
Kalau muncul iklan pop-up, tutup lalu klik tombol kembali

Download lagu Solving Quadratic Functions by Factoring (Grade 11 mixed Lesson 3.4 4 2 13) secara gratis hanya untuk keperluan promosi. Dukung artis favorit kamu dengan membeli musik original di iTunes atau platform resmi lainnya.