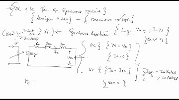
How to Solve: Short Circuit Test Synchronous Generator or Motor (Electrical Power PE Exam)

Tonton & Download Video Musik Gratis

⬇ DOWNLOAD NOW
Kalau muncul iklan pop-up, tutup lalu klik tombol kembali

Download lagu How to Solve: Short Circuit Test Synchronous Generator or Motor (Electrical Power PE Exam) secara gratis hanya untuk keperluan promosi. Dukung artis favorit kamu dengan membeli musik original di iTunes atau platform resmi lainnya.