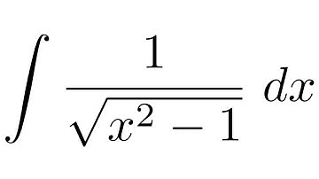
Integration of 1/sqrt(x^2-1) (3 different substitution) |Daily integral problem 53

Tonton & Download Video Musik Gratis

⬇ DOWNLOAD NOW
Kalau muncul iklan pop-up, tutup lalu klik tombol kembali

Download lagu Integration of 1/sqrt(x^2-1) (3 different substitution) |Daily integral problem 53 secara gratis hanya untuk keperluan promosi. Dukung artis favorit kamu dengan membeli musik original di iTunes atau platform resmi lainnya.