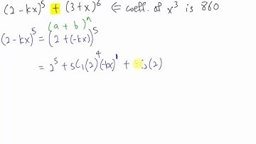
GCE O Level A Math 2014 Oct Paper 2 Q1 Solution (tys)

Tonton & Download Video Musik Gratis

⬇ DOWNLOAD NOW
Kalau muncul iklan pop-up, tutup lalu klik tombol kembali

Download lagu GCE O Level A Math 2014 Oct Paper 2 Q1 Solution (tys) secara gratis hanya untuk keperluan promosi. Dukung artis favorit kamu dengan membeli musik original di iTunes atau platform resmi lainnya.