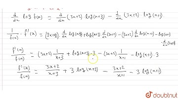
If f(x) = log((1+x)/(1-x)) and g(x) = (3x+x^3)/(1+3x^2 ), then f(g(x)) is equal to a) f(3x) b) 〖{f(x

Tonton & Download Video Musik Gratis

⬇ DOWNLOAD NOW
Kalau muncul iklan pop-up, tutup lalu klik tombol kembali

Download lagu If f(x) = log((1+x)/(1-x)) and g(x) = (3x+x^3)/(1+3x^2 ), then f(g(x)) is equal to a) f(3x) b) 〖{f(x secara gratis hanya untuk keperluan promosi. Dukung artis favorit kamu dengan membeli musik original di iTunes atau platform resmi lainnya.