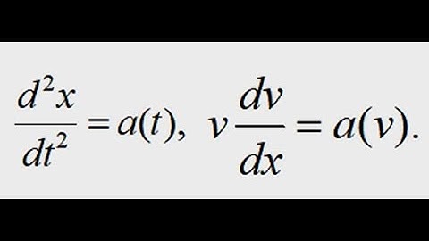
MECHANICS CH. 8 [Q.K Ghori] LECTURE 9 (Motion with variable acceleration)

Tonton & Download Video Musik Gratis

⬇ DOWNLOAD NOW
Kalau muncul iklan pop-up, tutup lalu klik tombol kembali

Download lagu MECHANICS CH. 8 [Q.K Ghori] LECTURE 9 (Motion with variable acceleration) secara gratis hanya untuk keperluan promosi. Dukung artis favorit kamu dengan membeli musik original di iTunes atau platform resmi lainnya.