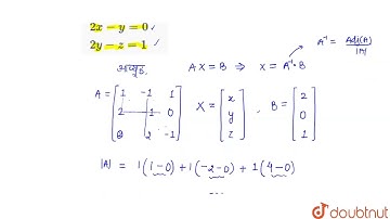
11th Std BM Ex 1.3(2)(i) Solve by Matrix inversion method 3x-y+2z=13; 2x+y-z=3; x+3y-5z= -8

Tonton & Download Video Musik Gratis

⬇ DOWNLOAD NOW
Kalau muncul iklan pop-up, tutup lalu klik tombol kembali

Download lagu 11th Std BM Ex 1.3(2)(i) Solve by Matrix inversion method 3x-y+2z=13; 2x+y-z=3; x+3y-5z= -8 secara gratis hanya untuk keperluan promosi. Dukung artis favorit kamu dengan membeli musik original di iTunes atau platform resmi lainnya.