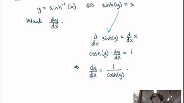
MAT2691(2024) Hyperbolic functions, Inverse Hyperbolic functions and Parametric equations

Tonton & Download Video Musik Gratis

⬇ DOWNLOAD NOW
Kalau muncul iklan pop-up, tutup lalu klik tombol kembali

Download lagu MAT2691(2024) Hyperbolic functions, Inverse Hyperbolic functions and Parametric equations secara gratis hanya untuk keperluan promosi. Dukung artis favorit kamu dengan membeli musik original di iTunes atau platform resmi lainnya.