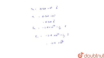
a. Calculate the radius of Bohr\'s first orbit for hydrogen atom and the energy of electron in t...

Tonton & Download Video Musik Gratis

⬇ DOWNLOAD NOW
Kalau muncul iklan pop-up, tutup lalu klik tombol kembali

Download lagu a. Calculate the radius of Bohr\'s first orbit for hydrogen atom and the energy of electron in t... secara gratis hanya untuk keperluan promosi. Dukung artis favorit kamu dengan membeli musik original di iTunes atau platform resmi lainnya.