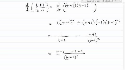
Find d y / d x and d^2 y / d x^2 . For which values of t is the curve concave upward? x=t+lnt…

Tonton & Download Video Musik Gratis

⬇ DOWNLOAD NOW
Kalau muncul iklan pop-up, tutup lalu klik tombol kembali

Download lagu Find d y / d x and d^2 y / d x^2 . For which values of t is the curve concave upward? x=t+lnt… secara gratis hanya untuk keperluan promosi. Dukung artis favorit kamu dengan membeli musik original di iTunes atau platform resmi lainnya.